Keyword: 大域的最適化
概要
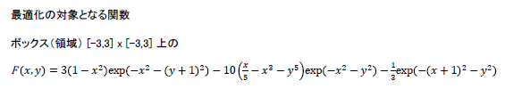
本サンプルは大域的最適化を行うFortranによるサンプルプログラムです。 本サンプルは以下に示される2次元におけるpeaks関数の大域的最小値を求めて出力します。
※本サンプルはnAG Fortranライブラリに含まれるルーチン e05jbf() のExampleコードです。本サンプル及びルーチンの詳細情報は e05jbf のマニュアルページをご参照ください。
ご相談やお問い合わせはこちらまで
入力データ
(本ルーチンの詳細はe05jbf のマニュアルページを参照)| このデータをダウンロード |
E05JBF Example Program Data 2 3 : N, SDLIST 0 : IBOUND -3.0 -3.0 : Lower bounds BL 3.0 3.0 : Upper bounds BU 0 : IINIT .FALSE. : PLOT
- 1行目はタイトル行で読み飛ばされます。
- 2行目に変数の数(n=2)と初期化リストに従って分割が行われる座標の点の数の最大値(sdlist=3)を指定しています。
- 3行目には境界値を処理するための機能が使用されるか(ibound)を指定しています。"0"は下限と上限をそれぞれ与えることを意味します。
- 4行目には下限(bl)を指定しています。
- 5行目には上限(bu)を指定しています。
- 6行目にはどの初期化の手法が使用されるか(iinit)を指定しています。"0"は簡易な初期化(境界法と中点法)を意味しています。
- 7行目には現在の検索ボックス(領域)に情報を表示させるかどうか(plot)を指定しています。".FALSE."の場合は検索ボックス(領域)には表示されません。
出力結果
(本ルーチンの詳細はe05jbf のマニュアルページを参照)| この出力例をダウンロード |
E05JBF Example Program Results (OBJFUN was just called for the first time) *** Begin monitoring information *** Total sub-boxes = 228 Total function evaluations = 197 Total function evaluations used in local search = 88 Total points used in local search = 13 Total sweeps through levels = 12 Total splits by init. list = 5 Lowest level with nonsplit boxes = 7 Number of candidate minima in the "shopping basket" = 2 Shopping basket: XBASKT( 1,:) = -1.34740 0.22828 XBASKT( 2,:) = 0.20452 -1.62553 *** End monitoring information *** Final objective value = -6.55113 Global optimum X = 0.22828 -1.62553
- 7〜17行目に以下に示すモニタリング情報が出力されています。
- サブボックス(下位領域)の数
- 関数objfunの呼び出しの累積数
- 局所検索での関数objfunの呼び出しの累積数
- 局所検索の開始点として使用される座標点の数
- 分割のレベルを通じたスイープ(sweep)の累積数
- 初期化リストによる分割の累積数
- 分割していないボックス(領域)を含む、最も低い分割のレベル
- ショッピングバスケット(最小値の候補の格納場所)の最小値の候補の座標点の数
- 最小値の候補が格納されているショッピングバスケットの内容
- 22行目に最終的な関数値が出力されています。
- 23行目に大域的最適解xの値が出力されています。
ソースコード
(本ルーチンの詳細はe05jbf のマニュアルページを参照)
※本サンプルソースコードは科学技術・統計計算ライブラリである「nAG Fortranライブラリ」のルーチンを呼び出します。
サンプルのコンパイル及び実行方法
| このソースコードをダウンロード |
! E05JBF Example Program Text
! Mark 23 Release. nAG Copyright 2011.
MODULE e05jbfe_mod
! E05JBF Example Program Module:
! Parameters and User-defined Routines
! .. Use Statements ..
USE nag_library, ONLY : nag_wp
! .. Implicit None Statement ..
IMPLICIT NONE
! .. Parameters ..
INTEGER, PARAMETER :: lcomm = 100, nin = 5, nout = 6
! .. Local Scalars ..
LOGICAL :: plot
CONTAINS
SUBROUTINE outbox(n,boxl,boxu)
! Displays edges of box with bounds BOXL and BOXU in format suitable
! for plotting.
! .. Implicit None Statement ..
IMPLICIT NONE
! .. Scalar Arguments ..
INTEGER, INTENT (IN) :: n
! .. Array Arguments ..
REAL (KIND=nag_wp), INTENT (IN) :: boxl(n), boxu(n)
! .. Executable Statements ..
WRITE (nout,99999) boxl(1), boxl(2)
WRITE (nout,99999) boxl(1), boxu(2)
WRITE (nout,99998)
WRITE (nout,99999) boxl(1), boxl(2)
WRITE (nout,99999) boxu(1), boxl(2)
WRITE (nout,99998)
WRITE (nout,99999) boxl(1), boxu(2)
WRITE (nout,99999) boxu(1), boxu(2)
WRITE (nout,99998)
WRITE (nout,99999) boxu(1), boxl(2)
WRITE (nout,99999) boxu(1), boxu(2)
WRITE (nout,99998)
RETURN
99999 FORMAT (F20.15,1X,F20.15)
99998 FORMAT (A)
END SUBROUTINE outbox
SUBROUTINE objfun(n,x,f,nstate,iuser,ruser,inform)
! Routine to evaluate E05JBF objective function.
! .. Implicit None Statement ..
IMPLICIT NONE
! .. Scalar Arguments ..
REAL (KIND=nag_wp), INTENT (OUT) :: f
INTEGER, INTENT (OUT) :: inform
INTEGER, INTENT (IN) :: n, nstate
! .. Array Arguments ..
REAL (KIND=nag_wp), INTENT (INOUT) :: ruser(*)
REAL (KIND=nag_wp), INTENT (IN) :: x(n)
INTEGER, INTENT (INOUT) :: iuser(*)
! .. Local Scalars ..
REAL (KIND=nag_wp) :: x1, x2
! .. Intrinsic Functions ..
INTRINSIC exp
! .. Executable Statements ..
inform = 0
IF (inform>=0) THEN
! If INFORM>=0 then we're prepared to evaluate OBJFUN
! at the current X
IF (nstate==1) THEN
! This is the first call to OBJFUN
WRITE (nout,*)
WRITE (nout,99999)
END IF
x1 = x(1)
x2 = x(2)
f = 3.0E0_nag_wp*(1.0E0_nag_wp-x1)**2*exp(-(x1**2)-(x2+ &
1.0E0_nag_wp)**2) - 1.0E1_nag_wp*(x1/5.0E0_nag_wp-x1**3-x2**5) &
*exp(-x1**2-x2**2) - 1.0E0_nag_wp/3.0E0_nag_wp*exp(-(x1+ &
1.0E0_nag_wp)**2-x2**2)
END IF
RETURN
99999 FORMAT (1X,'(OBJFUN was just called for the first time)')
END SUBROUTINE objfun
SUBROUTINE monit(n,ncall,xbest,icount,ninit,list,numpts,initpt,nbaskt, &
xbaskt,boxl,boxu,nstate,iuser,ruser,inform)
! Monitoring routine for E05JBF.
! .. Implicit None Statement ..
IMPLICIT NONE
! .. Scalar Arguments ..
INTEGER, INTENT (OUT) :: inform
INTEGER, INTENT (IN) :: n, nbaskt, ncall, ninit, nstate
! .. Array Arguments ..
REAL (KIND=nag_wp), INTENT (IN) :: boxl(n), boxu(n), &
list(n,ninit), &
xbaskt(n,nbaskt), xbest(n)
REAL (KIND=nag_wp), INTENT (INOUT) :: ruser(*)
INTEGER, INTENT (IN) :: icount(6), initpt(n), numpts(n)
INTEGER, INTENT (INOUT) :: iuser(*)
! .. Local Scalars ..
INTEGER :: i, j
! .. Executable Statements ..
inform = 0
IF (inform>=0) THEN
! We are going to allow the iterations to continue.
IF (nstate==0 .OR. nstate==1) THEN
! When NSTATE==1, MONIT is called for the first time. When
! NSTATE==0, MONIT is called for the first AND last time.
! Display a welcome message
WRITE (nout,*)
WRITE (nout,99999)
WRITE (nout,*)
IF (plot .AND. (n==2)) THEN
WRITE (nout,99998)
WRITE (nout,*)
END IF
END IF
IF (plot .AND. (n==2)) THEN
! Display the coordinates of the edges of the current search
! box
CALL outbox(n,boxl,boxu)
END IF
IF (nstate<=0) THEN
! MONIT is called for the last time
IF (plot .AND. (n==2)) THEN
WRITE (nout,99997)
WRITE (nout,*)
END IF
WRITE (nout,99996) icount(1)
WRITE (nout,99995) ncall
WRITE (nout,99994) icount(2)
WRITE (nout,99993) icount(3)
WRITE (nout,99992) icount(4)
WRITE (nout,99991) icount(5)
WRITE (nout,99990) icount(6)
WRITE (nout,99989) nbaskt
WRITE (nout,99988)
DO i = 1, n
WRITE (nout,99987) i, (xbaskt(i,j),j=1,nbaskt)
END DO
WRITE (nout,*)
WRITE (nout,99986)
WRITE (nout,*)
END IF
END IF
RETURN
99999 FORMAT (1X,'*** Begin monitoring information ***')
99998 FORMAT (1X,'<Begin displaying search boxes>')
99997 FORMAT (1X,'<End displaying search boxes>')
99996 FORMAT (1X,'Total sub-boxes =',I5)
99995 FORMAT (1X,'Total function evaluations =',I5)
99994 FORMAT (1X,'Total function evaluations used in local search =',I5)
99993 FORMAT (1X,'Total points used in local search =',I5)
99992 FORMAT (1X,'Total sweeps through levels =',I5)
99991 FORMAT (1X,'Total splits by init. list =',I5)
99990 FORMAT (1X,'Lowest level with nonsplit boxes =',I5)
99989 FORMAT (1X,'Number of candidate minima in the "shopping basket', &
'" =',I5)
99988 FORMAT (1X,'Shopping basket:')
99987 FORMAT (1X,'XBASKT(',I3,',:) =',(6F9.5))
99986 FORMAT (1X,'*** End monitoring information ***')
END SUBROUTINE monit
END MODULE e05jbfe_mod
PROGRAM e05jbfe
! E05JBF Example Main Program
! .. Use Statements ..
USE nag_library, ONLY : e05jaf, e05jbf, nag_wp
USE e05jbfe_mod, ONLY : lcomm, monit, nin, nout, objfun, plot
! .. Implicit None Statement ..
IMPLICIT NONE
! .. Local Scalars ..
REAL (KIND=nag_wp) :: obj
INTEGER :: i, ibound, ifail, iinit, n, sdlist
! .. Local Arrays ..
REAL (KIND=nag_wp), ALLOCATABLE :: bl(:), bu(:), comm(:), &
list(:,:), x(:)
REAL (KIND=nag_wp) :: ruser(1)
INTEGER, ALLOCATABLE :: initpt(:), numpts(:)
INTEGER :: iuser(1)
! .. Executable Statements ..
WRITE (nout,*) 'E05JBF Example Program Results'
! Skip heading in data file
READ (nin,*)
READ (nin,*) n, sdlist
ALLOCATE (bl(n),bu(n),list(n,sdlist),numpts(n),initpt(n),x(n), &
comm(lcomm))
READ (nin,*) ibound
IF (ibound==0) THEN
! Read in the whole of each bound
READ (nin,*) (bl(i),i=1,n)
READ (nin,*) (bu(i),i=1,n)
ELSE IF (ibound==3) THEN
! Bounds are uniform: read in only the first entry of each
READ (nin,*) bl(1)
READ (nin,*) bu(1)
END IF
READ (nin,*) iinit
! PLOT determines whether MONIT displays information on the
! current search box:
READ (nin,*) plot
! The first argument to E05JAF is a legacy argument and has no
! significance.
ifail = 0
CALL e05jaf(0,comm,lcomm,ifail)
! Solve the problem.
ifail = 0
CALL e05jbf(n,objfun,ibound,iinit,bl,bu,sdlist,list,numpts,initpt, &
monit,x,obj,comm,lcomm,iuser,ruser,ifail)
WRITE (nout,*)
WRITE (nout,99999) obj
WRITE (nout,99998) (x(i),i=1,n)
99999 FORMAT (1X,'Final objective value =',F11.5)
99998 FORMAT (1X,'Global optimum X =',2F9.5)
END PROGRAM e05jbfe
