前へ | 偏微分方程式解法用のメッシュ生成トップへ | 次へ
5. 要素からの寄与の計算
三角形分割の一つの三角形
について、
|
|
|
従って線形系(4)の両辺に対する要素と辺の寄与は次のようになる。すなわちすべての
に対して
|
|
|
また
上の辺
に対しては
|
|
|
でなくてはならない。ここに
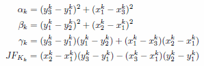
|
|
|
である。
が基底であることから、すべての
に対して
のサポートは
を頂点として持つ三角形の集合のみに帰着される。
または
が三角形
、または辺
の頂点でない場合にはそれらの寄与はすべて0になる。
今、
を
が三角形
の頂点となるように選ぶとき、
の微分を含めた要素からの寄与を次のように厳密に算出することができる。
|
|
|
|
|
|
|
|
|
これは頂点
が、それを頂点として含む三角形の第1ノード、第2ノード、第3ノードであり得ることによるものである(ただし
)。
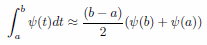
単に
のみを含むケースについては2次元の台形公式を使って積分の計算が行える。
|
|
(9) |
ただし
は三角形
の辺
の中点、すなわち
であり、
は三角形
の面積を意味する。この積分公式は
(次数が2以下の2変数多項式空間)の場合に厳密値を与える。従って
|
|
|
|
|
|
が導かれる。なお、
であるならすべての
に対して
|
|
|
となることを利用した。
最後に
に対して
が
上の辺
の端点となると仮定すると、1次元の台形公式
|
|
|
が利用できて、境界上での寄与を
|
|
|
と計算することができる。ここに
は辺
の長さを意味する。










