3. 空間積分
が(1)の解であるとき、
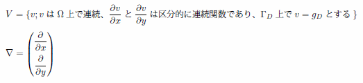
は変分法による定式(弱形式)
|
|
(2) |
に対する解でもあることが示される。ここに
|
|
|
とする。
問題の変分法による定式化は有限要素法の出発点である。この手法は有限次元部分空間中における近似解を見出すことから構成される。今、
を多角形形状の
内開部分集合とし、
個の三角形要素
に離散化されるものとする。これは
個の頂点
、及び境界
を区分する
個の辺
とからなる正則三角形分割(regular triangulation)
を構成する。すなわち
|
|
|
の添え字
はメッシュサイズの尺度を表す。すなわち
|
|
|
である。ただし
は三角形
の最長辺の長さを意味する。
変分問題(2)を解くために、それを有限次元(離散)部分空間における問題として書き直す。
|
|
(3) |
ここに
|
|
|
ただし
は次数が1以下の
における多項式空間であり、それは
における2つの空間変数
による線形関数空間でもある。この
が有限次元空間であることは証明できる。今、空間
|
|
|
について考えると、
であり、また
|
|
|
によって定義される
が
の基底となることが証明される。このときすべての
に対して
|
|
|
と書くことができる。さらにすべての
に対して、関数
のサポートは
を頂点とする三角形の集合に帰着される点に注意(関数のサポートとは概ね関数値が0ではない点の集合である)。またすべての
に対して
であることも言える。
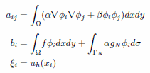
従って有限次元空間上で規定された変分問題(3)は線形系
|
|
(4) |
と等価となる。ここに
としたとき、
かつ
を満たすすべての
と
の
組みに対し
|
|
|
である。
である行
については次のようになる。
|
|
|
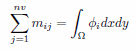
今、
をそれぞれ質量行列(mass
matrix)、剛性行列(stiffness matrix)
|
|
|
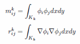
とすると
と書くことができる。ただしすべての
に対して
|
|
(5) |
|
|
(6) |
である点に注意。それ故、
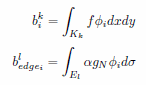
|
|
|
(ただし
)はそれぞれ質量行列、剛性行列に対する要素ごとの寄与を意味する。
同様に
についても、すべての
に対して
|
|
|
と書くことにする。ただし
|
|
|
とする。このとき
|
|
|
(ただし

)はそれぞれ、線形系(4)の右辺に対する要素と辺による寄与を意味する。












