Keyword: ポワソン分布, 整数疑似乱数ベクトル
概要
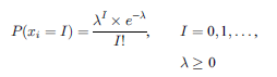
本サンプルはポワソン分布から整数疑似乱数ベクトルの生成を行うC言語によるサンプルプログラムです。 本サンプルは確率が以下で表される、平均λ=20のポワソン分布から10個の整数疑似乱数を生成し出力します。
※本サンプルはnAG Cライブラリに含まれる関数 nag_rand_poisson() のExampleコードです。本サンプル及び関数の詳細情報は nag_rand_poisson のマニュアルページをご参照ください。
ご相談やお問い合わせはこちらまで
出力結果
(本関数の詳細はnag_rand_poisson のマニュアルページを参照)- 3〜12行目に生成された整数疑似乱数が出力されています。
ソースコード
(本関数の詳細はnag_rand_poisson のマニュアルページを参照)
※本サンプルソースコードはnAG数値計算ライブラリ(Windows, Linux, MAC等に対応)の関数を呼び出します。
サンプルのコンパイル及び実行方法
| このソースコードをダウンロード |
/* nag_rand_poisson (g05tjc) Example Program.
*
* CLL6I261D/CLL6I261DL Version.
*
* Copyright 2017 Numerical Algorithms Group.
*
* Mark 26.1, 2017.
*/
/* Pre-processor includes */
#include <stdio.h>
#include <math.h>
#include <nag.h>
#include <nag_stdlib.h>
#include <nagg05.h>
int main(void)
{
/* Integer scalar and array declarations */
Integer exit_status = 0;
Integer lr, i, lstate;
Integer *state = 0, *x = 0;
/* nAG structures */
NagError fail;
Nag_ModeRNG mode;
/* Double scalar and array declarations */
double *r = 0;
/* Set the distribution parameters */
double lambda = 20.0e0;
/* Set the sample size */
Integer n = 10;
/* Choose the base generator */
Nag_BaseRNG genid = Nag_Basic;
Integer subid = 0;
/* Set the seed */
Integer seed[] = { 1762543 };
Integer lseed = 1;
/* Initialize the error structure */
INIT_FAIL(fail);
printf("nag_rand_poisson (g05tjc) Example Program Results\n\n");
/* Get the length of the state array */
lstate = -1;
nag_rand_init_repeatable(genid, subid, seed, lseed, state, &lstate, &fail);
if (fail.code != NE_NOERROR) {
printf("Error from nag_rand_init_repeatable (g05kfc).\n%s\n",
fail.message);
exit_status = 1;
goto END;
}
/* Calculate the size of the reference vector */
lr = 30 + 20 * sqrt(lambda) + lambda;
/* Allocate arrays */
if (!(r = nAG_ALLOC(lr, double)) ||
!(state = nAG_ALLOC(lstate, Integer)) || !(x = nAG_ALLOC(n, Integer)))
{
printf("Allocation failure\n");
exit_status = -1;
goto END;
}
/* Initialize the generator to a repeatable sequence */
nag_rand_init_repeatable(genid, subid, seed, lseed, state, &lstate, &fail);
if (fail.code != NE_NOERROR) {
printf("Error from nag_rand_init_repeatable (g05kfc).\n%s\n",
fail.message);
exit_status = 1;
goto END;
}
/* Generate the variates, initializing the reference vector
at the same time */
mode = Nag_InitializeAndGenerate;
nag_rand_poisson(mode, n, lambda, r, lr, state, x, &fail);
if (fail.code != NE_NOERROR) {
printf("Error from nag_rand_poisson (g05tjc).\n%s\n", fail.message);
exit_status = 1;
goto END;
}
/* Display the variates */
for (i = 0; i < n; i++)
printf("%ld\n", x[i]);
END:
nAG_FREE(r);
nAG_FREE(state);
nAG_FREE(x);
return exit_status;
}
