Keyword: 負の二項分布, 整数疑似乱数ベクトル
概要
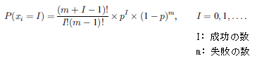
本サンプルは負の二項分布から整数疑似乱数ベクトルの生成を行うC言語によるサンプルプログラムです。 本サンプルは確率が以下で表される、m=60、p=0.999の負の二項分布から20個の整数疑似乱数をを生成し出力します。
※本サンプルはnAG Cライブラリに含まれる関数 nag_rand_neg_bin() のExampleコードです。本サンプル及び関数の詳細情報は nag_rand_neg_bin のマニュアルページをご参照ください。
ご相談やお問い合わせはこちらまで
出力結果
(本関数の詳細はnag_rand_neg_bin のマニュアルページを参照)| この出力例をダウンロード |
nag_rand_neg_bin (g05thc) Example Program Results
62339
50505
64863
66289
50434
59461
57365
65965
59572
63104
47833
54735
62075
48018
61458
55190
54263
80995
70129
60200
- 3〜22行目に生成された整数疑似乱数が出力されています。
ソースコード
(本関数の詳細はnag_rand_neg_bin のマニュアルページを参照)
※本サンプルソースコードはnAG数値計算ライブラリ(Windows, Linux, MAC等に対応)の関数を呼び出します。
サンプルのコンパイル及び実行方法
| このソースコードをダウンロード |
/* nag_rand_neg_bin (g05thc) Example Program.
*
* CLL6I261D/CLL6I261DL Version.
*
* Copyright 2017 Numerical Algorithms Group.
*
* Mark 26.1, 2017.
*/
/* Pre-processor includes */
#include <stdio.h>
#include <math.h>
#include <nag.h>
#include <nag_stdlib.h>
#include <nagg05.h>
int main(void)
{
/* Integer scalar and array declarations */
Integer exit_status = 0;
Integer lr, i, lstate;
Integer *state = 0, *x = 0;
/* nAG structures */
NagError fail;
Nag_ModeRNG mode;
/* Double scalar and array declarations */
double *r = 0;
/* Set the distribution parameters */
double p = 0.9990e0;
Integer m = 60;
/* Set the sample size */
Integer n = 20;
/* Choose the base generator */
Nag_BaseRNG genid = Nag_Basic;
Integer subid = 0;
/* Set the seed */
Integer seed[] = { 1762543 };
Integer lseed = 1;
/* Initialize the error structure */
INIT_FAIL(fail);
printf("nag_rand_neg_bin (g05thc) Example Program Results\n\n");
/* Get the length of the state array */
lstate = -1;
nag_rand_init_repeatable(genid, subid, seed, lseed, state, &lstate, &fail);
if (fail.code != NE_NOERROR) {
printf("Error from nag_rand_init_repeatable (g05kfc).\n%s\n",
fail.message);
exit_status = 1;
goto END;
}
/* Calculate the size of the reference vector,
we are not using r, so lr can be set to 0 */
lr = 0;
/* Allocate arrays */
if (!(r = nAG_ALLOC(lr, double)) ||
!(state = nAG_ALLOC(lstate, Integer)) || !(x = nAG_ALLOC(n, Integer)))
{
printf("Allocation failure\n");
exit_status = -1;
goto END;
}
/* Initialize the generator to a repeatable sequence */
nag_rand_init_repeatable(genid, subid, seed, lseed, state, &lstate, &fail);
if (fail.code != NE_NOERROR) {
printf("Error from nag_rand_init_repeatable (g05kfc).\n%s\n",
fail.message);
exit_status = 1;
goto END;
}
/* Generate the variates, initializing the reference
vector at the same time */
mode = Nag_GenerateWithoutReference;
nag_rand_neg_bin(mode, n, m, p, r, lr, state, x, &fail);
if (fail.code != NE_NOERROR) {
printf("Error from nag_rand_neg_bin (g05thc).\n%s\n", fail.message);
exit_status = 1;
goto END;
}
/* Display the variates */
for (i = 0; i < n; i++)
printf("%12ld\n", x[i]);
END:
nAG_FREE(r);
nAG_FREE(state);
nAG_FREE(x);
return exit_status;
}
