Keyword: F分布, 疑似乱数ベクトル
概要
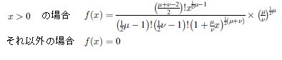
本サンプルはF分布から疑似乱数ベクトルの生成を行うC言語によるサンプルプログラムです。 本サンプルは以下に示される確率密度関数をもつ、分散(μ)2で自由度(ν)3のF分布から5個の疑似乱数を生成し出力します。
※本サンプルはnAG Cライブラリに含まれる関数 nag_rand_f() のExampleコードです。本サンプル及び関数の詳細情報は nag_rand_f のマニュアルページをご参照ください。
ご相談やお問い合わせはこちらまで
出力結果
(本関数の詳細はnag_rand_f のマニュアルページを参照)- 3〜7行目に生成された疑似乱数が出力されています。
ソースコード
(本関数の詳細はnag_rand_f のマニュアルページを参照)
※本サンプルソースコードはnAG数値計算ライブラリ(Windows, Linux, MAC等に対応)の関数を呼び出します。
サンプルのコンパイル及び実行方法
| このソースコードをダウンロード |
/* nag_rand_f (g05shc) Example Program.
*
* CLL6I261D/CLL6I261DL Version.
*
* Copyright 2017 Numerical Algorithms Group.
*
* Mark 26.1, 2017.
*/
/* Pre-processor includes */
#include <stdio.h>
#include <math.h>
#include <nag.h>
#include <nag_stdlib.h>
#include <nagg05.h>
int main(void)
{
/* Integer scalar and array declarations */
Integer exit_status = 0;
Integer i, lstate;
Integer *state = 0;
/* nAG structures */
NagError fail;
/* Double scalar and array declarations */
double *x = 0;
/* Set the distribution parameters */
Integer df1 = 2;
Integer df2 = 3;
/* Set the sample size */
Integer n = 5;
/* Choose the base generator */
Nag_BaseRNG genid = Nag_Basic;
Integer subid = 0;
/* Set the seed */
Integer seed[] = { 1762543 };
Integer lseed = 1;
/* Initialize the error structure */
INIT_FAIL(fail);
printf("nag_rand_f (g05shc) Example Program Results\n\n");
/* Get the length of the state array */
lstate = -1;
nag_rand_init_repeatable(genid, subid, seed, lseed, state, &lstate, &fail);
if (fail.code != NE_NOERROR) {
printf("Error from nag_rand_init_repeatable (g05kfc).\n%s\n",
fail.message);
exit_status = 1;
goto END;
}
/* Allocate arrays */
if (!(x = nAG_ALLOC(n, double)) || !(state = nAG_ALLOC(lstate, Integer)))
{
printf("Allocation failure\n");
exit_status = -1;
goto END;
}
/* Initialize the generator to a repeatable sequence */
nag_rand_init_repeatable(genid, subid, seed, lseed, state, &lstate, &fail);
if (fail.code != NE_NOERROR) {
printf("Error from nag_rand_init_repeatable (g05kfc).\n%s\n",
fail.message);
exit_status = 1;
goto END;
}
/* Generate the variates */
nag_rand_f(n, df1, df2, state, x, &fail);
if (fail.code != NE_NOERROR) {
printf("Error from nag_rand_f (g05shc).\n%s\n", fail.message);
exit_status = 1;
goto END;
}
/* Display the variates */
for (i = 0; i < n; i++)
printf("%10.4f\n", x[i]);
END:
nAG_FREE(x);
nAG_FREE(state);
return exit_status;
}
