Keyword: ヤコビシータ関数
概要
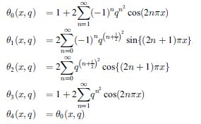
本サンプルはヤコビシータ関数を求めるC言語によるサンプルプログラムです。 本サンプルは以下に示されるヤコビシータ関数を求めて出力します。
※本サンプルはnAG Cライブラリに含まれる関数 nag_jacobian_theta() のExampleコードです。本サンプル及び関数の詳細情報は nag_jacobian_theta のマニュアルページをご参照ください。
ご相談やお問い合わせはこちらまで
入力データ
(本関数の詳細はnag_jacobian_theta のマニュアルページを参照)- 1行目はタイトル行で読み飛ばされます。
- 2行目に関数θk(x,q)のkの値、引数x、qの値を指定しています。
出力結果
(本関数の詳細はnag_jacobian_theta のマニュアルページを参照)- 3行目に関数θk(x,q)のkの値、引数x、qの値とヤコビシータ関数の値が出力されています。
ソースコード
(本関数の詳細はnag_jacobian_theta のマニュアルページを参照)
※本サンプルソースコードはnAG数値計算ライブラリ(Windows, Linux, MAC等に対応)の関数を呼び出します。
サンプルのコンパイル及び実行方法
| このソースコードをダウンロード |
/* nag_jacobian_theta (s21ccc) Example Program.
*
* CLL6I261D/CLL6I261DL Version.
*
* Copyright 2017 Numerical Algorithms Group.
*
* nAG C Library
*
* Mark 26.1, 2017.
*/
#include <stdio.h>
#include <nag.h>
#include <nag_stdlib.h>
#include <nags.h>
int main(void)
{
Integer exit_status = 0, k;
NagError fail;
double q, x, y;
INIT_FAIL(fail);
/* Skip heading in data file */
scanf("%*[^\n] ");
printf("nag_jacobian_theta (s21ccc) Example Program Results\n");
printf(" k x q y\n");
while (scanf("%ld%lf%lf%*[^\n]", &k, &x, &q) != EOF)
{
/* nag_jacobian_theta (s21ccc).
* Jacobian theta functions with real arguments
*/
y = nag_jacobian_theta(k, x, q, &fail);
if (fail.code != NE_NOERROR) {
printf("Error from nag_jacobian_theta (s21ccc).\n%s\n", fail.message);
exit_status = 1;
goto END;
}
printf("%2ld %4.1f %4.1f %13.4e\n", k, x, q, y);
}
END:
return exit_status;
}
