Keyword: ブラック・ショールズ・マートン, オプション, プライシング
概要
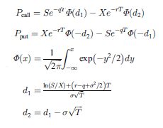
本サンプルはブラック・ショールズ・マートンオプションプライシングを求めるC言語によるサンプルプログラムです。 本サンプルは以下に示されるブラック・ショールズ・マートンの公式を用いてオプションプライシングを求めて出力します。
※本サンプルはnAG Cライブラリに含まれる関数 nag_bsm_price() のExampleコードです。本サンプル及び関数の詳細情報は nag_bsm_price のマニュアルページをご参照ください。
ご相談やお問い合わせはこちらまで
入力データ
(本関数の詳細はnag_bsm_price のマニュアルページを参照)| このデータをダウンロード |
nag_bsm_price (s30aac) Example Program Data Nag_Call : Nag_Call or Nag_Put 55.0 0.3 0.1 0.0 : s, sigma, r, q 3 2 : m, n 58.0 60.0 62.0 : x(i), i = 1,2,...m 0.7 0.8 : t(i), i = 1,2,...n
- 1行目はタイトル行で読み飛ばされます。
- 2行目にオプションがコール(買い)かプット(売り)かを示すパラメータ(putnum)を指定しています。
- 3行目に原資産価格(s)、原資産のボラティリティ(sigma)、無リスク利子率(r)、配当利回り(q)を指定しています。
- 4行目に行使価格の数(m)、満期までの期間の数(n)を指定しています。
- 5〜7行目に行使価格(x)を指定しています。
- 8〜9行目に満期までの期間(t)を指定しています。
出力結果
(本関数の詳細はnag_bsm_price のマニュアルページを参照)| この出力例をダウンロード |
nag_bsm_price (s30aac) Example Program Results Black-Scholes-Merton formula European Call : Spot = 55.0000 Volatility = 0.3000 Rate = 0.1000 Dividend = 0.0000 Strike Expiry Option Price 58.0000 0.7000 5.9198 58.0000 0.8000 6.5506 60.0000 0.7000 5.0809 60.0000 0.8000 5.6992 62.0000 0.7000 4.3389 62.0000 0.8000 4.9379
- 5行目に原資産価格が出力されています。
- 6行目に原資産のボラティリティが出力されています。
- 7行目に無リスク利子率が出力されています。
- 8行目に配当利回りが出力されています。
- 10〜16行目に行使価格、満期までの期間、オプション価格が出力されています。
ソースコード
(本関数の詳細はnag_bsm_price のマニュアルページを参照)
※本サンプルソースコードはnAG数値計算ライブラリ(Windows, Linux, MAC等に対応)の関数を呼び出します。
サンプルのコンパイル及び実行方法
| このソースコードをダウンロード |
/* nag_bsm_price (s30aac) Example Program.
*
* CLL6I261D/CLL6I261DL Version.
*
* Copyright 2017 Numerical Algorithms Group.
*
* Mark 26.1, 2017.
*/
#include <stdio.h>
#include <math.h>
#include <string.h>
#include <nag.h>
#include <nag_stdlib.h>
#include <nags.h>
int main(void)
{
/* Integer scalar and array declarations */
Integer exit_status = 0;
Integer i, j, m, n;
NagError fail;
Nag_CallPut putnum;
/* Double scalar and array declarations */
double q, r, s, sigma;
double *p = 0, *t = 0, *x = 0;
/* Character scalar and array declarations */
char put[8 + 1];
Nag_OrderType order;
INIT_FAIL(fail);
printf("nag_bsm_price (s30aac) Example Program Results\n");
printf("Black-Scholes-Merton formula\n\n");
/* Skip heading in data file */
scanf("%*[^\n] ");
/* Read put */
scanf("%8s%*[^\n] ", put);
/*
* nag_enum_name_to_value (x04nac).
* Converts nAG enum member name to value
*/
putnum = (Nag_CallPut) nag_enum_name_to_value(put);
/* Read sigma, r */
scanf("%lf%lf%lf%lf%*[^\n] ", &s, &sigma, &r, &q);
/* Read m, n */
scanf("%ld%ld%*[^\n] ", &m, &n);
#ifdef nAG_COLUMN_MAJOR
#define P(I, J) p[(J-1)*m + I-1]
order = Nag_ColMajor;
#else
#define P(I, J) p[(I-1)*n + J-1]
order = Nag_RowMajor;
#endif
if (!(p = nAG_ALLOC(m * n, double)) ||
!(t = nAG_ALLOC(n, double)) || !(x = nAG_ALLOC(m, double)))
{
printf("Allocation failure\n");
exit_status = -1;
goto END;
}
/* Read array of strike/exercise prices, X */
for (i = 0; i < m; i++)
scanf("%lf ", &x[i]);
scanf("%*[^\n] ");
for (i = 0; i < n; i++)
scanf("%lf ", &t[i]);
scanf("%*[^\n] ");
/*
* nag_bsm_price (s30aac)
* Black-Scholes-Merton option pricing formula
*/
nag_bsm_price(order, putnum, m, n, x, s, t, sigma, r, q, p, &fail);
if (fail.code != NE_NOERROR) {
printf("Error from nag_bsm_price (s30aac).\n%s\n", fail.message);
exit_status = 1;
goto END;
}
if (putnum == Nag_Call)
printf("%s\n", "European Call :");
else if (putnum == Nag_Put)
printf("%s\n", "European Put :");
printf("%s%8.4f\n", " Spot = ", s);
printf("%s%8.4f\n", " Volatility = ", sigma);
printf("%s%8.4f\n", " Rate = ", r);
printf("%s%8.4f\n", " Dividend = ", q);
printf("\n");
printf("%s\n", " Strike Expiry Option Price");
for (i = 1; i <= m; i++)
for (j = 1; j <= n; j++)
printf("%9.4f %9.4f %9.4f\n", x[i - 1], t[j - 1], P(i, j));
END:
nAG_FREE(p);
nAG_FREE(t);
nAG_FREE(x);
return exit_status;
}
