Keyword: 負の二項分布, 整数疑似乱数ベクトル
概要
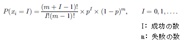
本サンプルは負の二項分布から整数疑似乱数ベクトルの生成を行うFortranによるサンプルプログラムです。 本サンプルは確率が以下で表される、m=60、p=0.999の負の二項分布から20個の整数疑似乱数をを生成し出力します。
※本サンプルはnAG Fortranライブラリに含まれるルーチン g05thf() のExampleコードです。本サンプル及びルーチンの詳細情報は g05thf のマニュアルページをご参照ください。
ご相談やお問い合わせはこちらまで
入力データ
(本ルーチンの詳細はg05thf のマニュアルページを参照)- 1行目はタイトル行で読み飛ばされます。
- 2行目に使用する生成器(genid=1:nAG基本生成器)、生成器に関する情報(subid=1:GENIDが1の場合この値は参照されません)、生成器の初期値(seed=1762543)を指定しています。
- 3行目に生成される疑似乱数の数(n=20)を指定しています。
- 4行目に成功確率(p=0.999)、失敗数(m=60)を指定しています。
出力結果
(本ルーチンの詳細はg05thf のマニュアルページを参照)| この出力例をダウンロード |
G05THF Example Program Results
62339
50505
64863
66289
50434
59461
57365
65965
59572
63104
47833
54735
62075
48018
61458
55190
54263
80995
70129
60200
- 3〜22行目に生成された整数疑似乱数が出力されています。
ソースコード
(本ルーチンの詳細はg05thf のマニュアルページを参照)
※本サンプルソースコードは科学技術・統計計算ライブラリである「nAG Fortranライブラリ」のルーチンを呼び出します。
サンプルのコンパイル及び実行方法
| このソースコードをダウンロード |
PROGRAM g05thfe
! G05THF Example Program Text
! Mark 23 Release. nAG Copyright 2011.
! .. Use Statements ..
USE nag_library, ONLY : g05kff, g05thf, nag_wp, x02amf
! .. Implicit None Statement ..
IMPLICIT NONE
! .. Parameters ..
INTEGER, PARAMETER :: lseed = 1, maxlr = 5000, nin = 5, &
nout = 6
! .. Local Scalars ..
REAL (KIND=nag_wp) :: p
INTEGER :: genid, ifail, lr, lstate, m, mode, &
n, subid
! .. Local Arrays ..
REAL (KIND=nag_wp), ALLOCATABLE :: r(:)
INTEGER :: seed(lseed)
INTEGER, ALLOCATABLE :: state(:), x(:)
! .. Intrinsic Functions ..
INTRINSIC int, real, sqrt
! .. Executable Statements ..
WRITE (nout,*) 'G05THF Example Program Results'
WRITE (nout,*)
! Skip heading in data file
READ (nin,*)
! Read in the base generator information and seed
READ (nin,*) genid, subid, seed(1)
! Initial call to initialiser to get size of STATE array
lstate = 0
ALLOCATE (state(lstate))
ifail = 0
CALL g05kff(genid,subid,seed,lseed,state,lstate,ifail)
! Reallocate STATE
DEALLOCATE (state)
ALLOCATE (state(lstate))
! Initialize the generator to a repeatable sequence
ifail = 0
CALL g05kff(genid,subid,seed,lseed,state,lstate,ifail)
! Read in sample size
READ (nin,*) n
! Read in the distribution parameters
READ (nin,*) p, m
! Use suggested value for LR
IF (1.0E0_nag_wp-p<x02amf()) THEN
! P is too close to 1.0 to calculate LR, so
! set to MAXLR, which means we will use MODE = 3
lr = maxlr
ELSE
lr = int(2.8E1_nag_wp+(2.0E1_nag_wp*sqrt(real(m,kind=nag_wp)* &
p)+3.0E1_nag_wp*p)/(1.0E0_nag_wp-p))
END IF
! If R is a reasonable size use MODE = 2
! else do not reference R and use MODE = 3
IF (lr<maxlr) THEN
mode = 2
ELSE
mode = 3
lr = 0
END IF
ALLOCATE (x(n),r(lr))
! Generate the variates
ifail = 0
CALL g05thf(mode,n,m,p,r,lr,state,x,ifail)
! Display the variates
WRITE (nout,99999) x(1:n)
99999 FORMAT (1X,I12)
END PROGRAM g05thfe
