Keyword: ヤコビシータ関数
概要
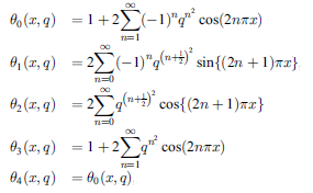
本サンプルはヤコビシータ関数を求めるFortranによるサンプルプログラムです。 本サンプルは以下に示されるヤコビシータ関数を求めて出力します。
※本サンプルはnAG Fortranライブラリに含まれるルーチン s21ccf() のExampleコードです。本サンプル及びルーチンの詳細情報は s21ccf のマニュアルページをご参照ください。
ご相談やお問い合わせはこちらまで
入力データ
(本ルーチンの詳細はs21ccf のマニュアルページを参照)- 1行目はタイトル行で読み飛ばされます。
- 2行目に関数θk(x,q)のkの値、引数x、qの値を指定しています。
出力結果
(本ルーチンの詳細はs21ccf のマニュアルページを参照)- 5行目に関数θk(x,q)のkの値、引数x、qの値とヤコビシータ関数の値が出力されています。
ソースコード
(本ルーチンの詳細はs21ccf のマニュアルページを参照)
※本サンプルソースコードは科学技術・統計計算ライブラリである「nAG Fortranライブラリ」のルーチンを呼び出します。
サンプルのコンパイル及び実行方法
| このソースコードをダウンロード |
PROGRAM s21ccfe
! S21CCF Example Program Text
! Mark 23 Release. nAG Copyright 2011.
! .. Use Statements ..
USE nag_library, ONLY : nag_wp, s21ccf
! .. Implicit None Statement ..
IMPLICIT NONE
! .. Parameters ..
INTEGER, PARAMETER :: nin = 5, nout = 6
! .. Local Scalars ..
REAL (KIND=nag_wp) :: q, x, y
INTEGER :: ifail, k
! .. Executable Statements ..
WRITE (nout,*) 'S21CCF Example Program Results'
! Skip heading in data file
READ (nin,*)
WRITE (nout,*)
WRITE (nout,*) ' K X Q Y'
WRITE (nout,*)
READ (nin,*) k, x, q
ifail = -1
y = s21ccf(k,x,q,ifail)
IF (ifail>=0) THEN
WRITE (nout,99999) k, x, q, y
END IF
99999 FORMAT (1X,I2,2X,F4.1,2X,F4.1,2X,1P,E12.4)
END PROGRAM s21ccfe
