| 業種 | 研究所 |
| ソリューション | 量子ドット計算 |
| 使用された製品 | nAG Fortran ライブラリ |
| 使用された関数 | d01daf(2次元積分) |
nAG ライブラリを用いた量子ドット計算
Omololu Akin-Ojo, Postdoctoral Fellow, International Center for Theoretical Physics (ICTP), Trieste 34151, Italy
ICTP(国際理論物理学センター)を訪れていたアフリカの大学院2年生は量子ドットを含む数値計算でサポートを必要としていました。量子ドットに関するハミルトニアンは単一電子近似で記述されていました。彼は単一サイトの不純物を含む量子ドットの基底状態エネルギーを得るためにSchrödingerの方程式に対して変分法を使用していました。また電界の応用の効果も考える必要がありました。 この問題を解くのに必要な積分、そのほとんどである2次元積分(2D)が数値的に得られています。彼の目標の一つは様々な電界強度に対する基底状態エネルギーを得ることでした。エネルギーに加えて、彼は異なる電界がシステムに適用される場合の分極率も得ようとしました。これにはまだ別の(小さい)積分が含まれています。 まず、必要な2次元積分を実行するために、別の関数を呼び出す関数を呼び出すことによって私は他のソースの一次元の積分ルーチンを修正しようとしました。残念ながらこれは効果がないことが判明しました。このときnAG ライブラリが救ってくれました。私は必要な積分の値を計算するのに nAG の2次元積分のルーチン(d01daf)を使用しました。
Ⅰ.問題
方程式は電界にある電荷不純物をもつ量子ドットです。リュードベリ原子単位のハミルトニアンは以下です。
ここで、r は電子の位置、r0は不純物の(固定)位置を表しています。V(r) は電子の閉じ込めポテンシャルで、r=|r|で r0=|r0| です。角度 θ は電界ベクトルと電界の強度である f をもつ r との間の角度です。 方程式の基底状態エネルギーを見つけるために、パラメータ α と β をもつ試行波動関数 ψ(γ;α,β,f) を仮定し、これらのパラメータに関して試行エネルギーETを最小化することができます。試行エネルギーET は以下の式で与えられます:
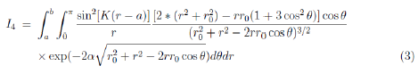
常に、上記の積分は最終的に2次元積分の和になります。それらは以下の式です。
及び
ここで、K=π/(b-a) で、a は円形量子ドットの内径で、b は外径です。私はこれらの2次元積分を簡単に問題なく計算するためにnAGライブラリのルーチンd01daf を使用しました。
